2 Mas

Matemagia 2 2 5 Youtube

Matemagia 2 2 5 Youtube

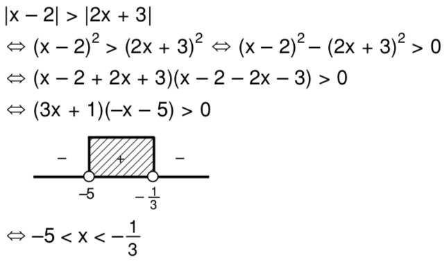
Tentukan Himpunan Penyelesaian Pertidaksamaan Pecahan Berikut A 4x 3 5x 1 2 Mas Dayat

Tentukan Himpunan Penyelesaian Pertidaksamaan Pecahan Berikut A 4x 3 5x 1 2 Mas Dayat

Jual Kalung Padi 2 Suku Kota Palembang Perhiasan Mas Tokopedia

Jual Kalung Padi 2 Suku Kota Palembang Perhiasan Mas Tokopedia

Jual Ecer Rantai Taiwan 1 2 Mas Kota Bandung Warung Kandy Tokopedia

Jual Ecer Rantai Taiwan 1 2 Mas Kota Bandung Warung Kandy Tokopedia

4x X 7 Mas Dayat

4x X 7 Mas Dayat

Licoreria Condigran Home Facebook

Licoreria Condigran Home Facebook

Licoreria Condigran Home Facebook

Find local businesses view maps and get driving directions in google maps.

2 mas. When the fun of double dating begins to grow old richard and bettina share a dirty little secret with their friends diego and emilia. If you are a enrollee. For content cut from the final version of the. The mass effect 2 digital deluxe edition takes players on a new journey with commander shepard.

Directed by diego kaplan. If you are a medical provider. Create enrollee representative account. Agc cad and mas pointed out today that the us 122 million to be paid by goldman sachs singapore pte gssp to the singapore government has been incorrectly reported by several media as a fine and as being on top of the us 2 9 billion to be paid by the goldman sachs group inc gsg and its affiliates pursuant to the deferred prosecution agreement entered into between gsg and the us.

For the walkthrough see mass effect 2 guide. Mass effect 2 is an action role playing video game developed by bioware and published by electronic arts it was released for microsoft windows and xbox 360 in 2010 and playstation 3 in 2011. Guidelines have also been formulated to encourage best practices among financial institutions. Mass effect 2 is the second installment of the mass effect series and a sequel to the original mass effect the game takes place within the milky way galaxy during the 22nd century where humanity is.

Welcome to the new mas 2 0. If you are an enrollee representative. Mass effect 2 is a science fiction role playing action game developed by bioware for the xbox 360 pc and playstation 3 1 it is the sequel to mass effect and the second game in the mass effect trilogy. Surviving the mission is one thing but getting your peers to respect you is a whole.

The galaxy has seen better days. We have a new look and feel easier trip entry better trip management and enhanced security. They live a double life as swingers and would love to share this practice with them. With adrián suar carla peterson julieta díaz juan minujín.

Mas establishes rules for financial institutions which are implemented through legislation regulations directions and notices.

Hotel Kembar Mas 2 Pangandaran Harga Hotel Terbaru Di Traveloka

Hotel Kembar Mas 2 Pangandaran Harga Hotel Terbaru Di Traveloka

Jual Minyak Goreng 2 L Kunnci Mas Kab Bandung Barat Olshop Bang Margana Tokopedia

Jual Minyak Goreng 2 L Kunnci Mas Kab Bandung Barat Olshop Bang Margana Tokopedia

2 Dos Diseno Grafico Mercado Social Mercado Social

2 Dos Diseno Grafico Mercado Social Mercado Social

Warung Sate Tongseng Mas Padi 2 Menu

Warung Sate Tongseng Mas Padi 2 Menu

Ylcc Berencana Putus Sewa Sdn Pancoran Mas 2 Depok Tribun Jakarta

Ylcc Berencana Putus Sewa Sdn Pancoran Mas 2 Depok Tribun Jakarta

Hotel Kembar Mas 2 Pangandaran Harga Hotel Terbaru Di Traveloka

Hotel Kembar Mas 2 Pangandaran Harga Hotel Terbaru Di Traveloka

X 2 2x 3 Mas Dayat

X 2 2x 3 Mas Dayat

Bs Clothing Mysteri Box Kejutan Beruntung Dg Harga Wawww Anda Pasti Untung Katagori Accecories Bisa Berubah Menjadi Emas Asli 100 Lazada Indonesia

Bs Clothing Mysteri Box Kejutan Beruntung Dg Harga Wawww Anda Pasti Untung Katagori Accecories Bisa Berubah Menjadi Emas Asli 100 Lazada Indonesia

Kedai Malaya 2 Mas Sugeng Caruban Food Delivery Menu Grabfood Id

Kedai Malaya 2 Mas Sugeng Caruban Food Delivery Menu Grabfood Id

Cara Membuat Rangkaian Pancing Ikan Mas 2 Mata Kail Dengan Pelampung Ikan Mas Pancing Ikan

Cara Membuat Rangkaian Pancing Ikan Mas 2 Mata Kail Dengan Pelampung Ikan Mas Pancing Ikan

Jual Renda Kur No 2 Mas Perak 30yard Jakarta Barat Ud Garment Accesories Tokopedia

Jual Renda Kur No 2 Mas Perak 30yard Jakarta Barat Ud Garment Accesories Tokopedia

Viral Wanita Ini Buat Pria Yang Menggodanya Di Jalan Gelap Panik Ketakutan Mas Bisa Lihat Saya Tribun Kaltim

Viral Wanita Ini Buat Pria Yang Menggodanya Di Jalan Gelap Panik Ketakutan Mas Bisa Lihat Saya Tribun Kaltim

Wisata Bukit Mas 2 Cluster Grand Palais Jl Lakarsantri Raya Lakarsantri Surabaya Jawa Timur 4 Kamar Tidur 288 M Rumah Dijual Oleh Yoga Rp 4 5 M 15071816

Wisata Bukit Mas 2 Cluster Grand Palais Jl Lakarsantri Raya Lakarsantri Surabaya Jawa Timur 4 Kamar Tidur 288 M Rumah Dijual Oleh Yoga Rp 4 5 M 15071816

Perumahan Anggrek Mas 2 Nihon

Perumahan Anggrek Mas 2 Nihon

Himpunan Penyelesaian Dari Pertidaksamaan 3x 2 7 2x 3 Adalah Mas Dayat

Himpunan Penyelesaian Dari Pertidaksamaan 3x 2 7 2x 3 Adalah Mas Dayat

Jual Surabaya Kunci Mas Minyak Goreng 6 Pcs 2 L Kemasan Pouch Online Oktober 2020 Blibli Com

Jual Surabaya Kunci Mas Minyak Goreng 6 Pcs 2 L Kemasan Pouch Online Oktober 2020 Blibli Com

Pasien Ke 2 Terkonfirmasi Covid 19 Di Gunung Mas Kembali Sembuh

Pasien Ke 2 Terkonfirmasi Covid 19 Di Gunung Mas Kembali Sembuh

Pengembang Menutup Akses Jalan Sepihak Warga Wisata Bukit Mas 2 Unjuk Rasa Surya

Pengembang Menutup Akses Jalan Sepihak Warga Wisata Bukit Mas 2 Unjuk Rasa Surya

Bakso Beranak Jakarta Mas Gayeng Cideng Lengkap Menu Terbaru Jam Buka No Telepon Alamat Dengan Peta

Bakso Beranak Jakarta Mas Gayeng Cideng Lengkap Menu Terbaru Jam Buka No Telepon Alamat Dengan Peta

Minyak Goreng Kunci Mas 2 Liter Murah Meriah Lazada Indonesia

Minyak Goreng Kunci Mas 2 Liter Murah Meriah Lazada Indonesia

Bhabin Randugarut Himbau Satpam Pt Mas Sumbiri 2 Antisipasi Kebakaran Dan 3 C

Bhabin Randugarut Himbau Satpam Pt Mas Sumbiri 2 Antisipasi Kebakaran Dan 3 C

Jual Bibit Ikan Mas Ukuran 2 Jari Kota Depok Sugiantoroshop Tokopedia

Jual Bibit Ikan Mas Ukuran 2 Jari Kota Depok Sugiantoroshop Tokopedia

X2 3x 10 2 2 Mas Dayat

X2 3x 10 2 2 Mas Dayat

Rumah Dijual Regency Melati Mas 2

Rumah Dijual Regency Melati Mas 2

Bakso Beranak 2 Mas Gayeng Cideng Barat Makanan Delivery Menu Grabfood Id

Bakso Beranak 2 Mas Gayeng Cideng Barat Makanan Delivery Menu Grabfood Id

Download Livery Bus Agra Mas Jetbus Shd 2 My D Hermawan Konsep Mobil Mobil Modifikasi Stiker Mobil

Download Livery Bus Agra Mas Jetbus Shd 2 My D Hermawan Konsep Mobil Mobil Modifikasi Stiker Mobil

Akuisisi 2 Perusahaan Mami Siapkan Rights Issue Market Bisnis Com

Akuisisi 2 Perusahaan Mami Siapkan Rights Issue Market Bisnis Com

Villa Mas Asri 2

Villa Mas Asri 2

Benih Ikan Mas Ukuran 2 3 Bibitikan Net

Benih Ikan Mas Ukuran 2 3 Bibitikan Net

Bakso Beranak Jakarta Mas Gayeng Cideng Lengkap Menu Terbaru Jam Buka No Telepon Alamat Dengan Peta

Bakso Beranak Jakarta Mas Gayeng Cideng Lengkap Menu Terbaru Jam Buka No Telepon Alamat Dengan Peta

Buruan Perumahan Buana Mas 2 Tinggal 20 Unit Lagi Tribun Batam

Buruan Perumahan Buana Mas 2 Tinggal 20 Unit Lagi Tribun Batam

Esen Ikan Mas Ojil Fishing Com Beli 2 Bonus 1 Babon Ikan Rame Kilo Gebrus Janda 1 Cod Shopee Indonesia

Esen Ikan Mas Ojil Fishing Com Beli 2 Bonus 1 Babon Ikan Rame Kilo Gebrus Janda 1 Cod Shopee Indonesia

Distributor Minyak Goreng Kunci Mas 1 2 Liter Jakarta Barat Jualo

Distributor Minyak Goreng Kunci Mas 1 2 Liter Jakarta Barat Jualo

Kapolsek Balapulang Cup 2 Feat Raja Ngurak Tegal 1 New Maestro Naik Podium Seruling Mas Dan Badai Sakti Bersinar Burungnews

Kapolsek Balapulang Cup 2 Feat Raja Ngurak Tegal 1 New Maestro Naik Podium Seruling Mas Dan Badai Sakti Bersinar Burungnews

Minyak Goreng Kunci Mas 2 Liter Murah Meriah Lazada Indonesia

Minyak Goreng Kunci Mas 2 Liter Murah Meriah Lazada Indonesia

Sistem Registrasi Nasional Cagar Budaya

Sistem Registrasi Nasional Cagar Budaya

Rumah Cozy Di Hook 2 Lantai Di Puri Depok Mas Terdekat Tol Sawangan Pancoran Mas Depok Jawa Barat 3 Kamar Tidur 187 M Rumah Dijual Oleh Sari Ratna Muflihah Rp 2 9 M 17273006

Rumah Cozy Di Hook 2 Lantai Di Puri Depok Mas Terdekat Tol Sawangan Pancoran Mas Depok Jawa Barat 3 Kamar Tidur 187 M Rumah Dijual Oleh Sari Ratna Muflihah Rp 2 9 M 17273006

Cerita Jukir Tempat Mas Mas Baik Temukan Rp 2 Juta Di Atm Bantul

Cerita Jukir Tempat Mas Mas Baik Temukan Rp 2 Juta Di Atm Bantul

Sistem Registrasi Nasional Cagar Budaya

Sistem Registrasi Nasional Cagar Budaya

Wisata Bukit Mas Home

Wisata Bukit Mas Home

Musim Mas Grup Kucurkan 2 Juta Dolar As Untuk Bantu Warga Terdampak Covid 19 Termasuk Di

Musim Mas Grup Kucurkan 2 Juta Dolar As Untuk Bantu Warga Terdampak Covid 19 Termasuk Di

Perumahan Delta Mas 2 Di Makassar Sulawesi Selatan Indonesia

Perumahan Delta Mas 2 Di Makassar Sulawesi Selatan Indonesia

2

2

Perbandingan Ikan Nila Dengan Ikan Mas Dalam Sebuah Kolam Adalah 2 5 Banyak Ikan Nila Dalam Kolam Brainly Co Id

Perbandingan Ikan Nila Dengan Ikan Mas Dalam Sebuah Kolam Adalah 2 5 Banyak Ikan Nila Dalam Kolam Brainly Co Id

Pasien Positif Covid 19 Di Kabupaten Gunung Mas Sembuh 2 Orang

Pasien Positif Covid 19 Di Kabupaten Gunung Mas Sembuh 2 Orang

Hotel Telaga Mas 2 Sarangan In Plaosan Magetan East Java

Hotel Telaga Mas 2 Sarangan In Plaosan Magetan East Java

Ninasapti Widjajano Mas Wid Pulang Di Tempat Yang Dicintai 2 Nova Grid Id

Ninasapti Widjajano Mas Wid Pulang Di Tempat Yang Dicintai 2 Nova Grid Id

Si Doel Anak Sekolahan Episode 10 Musim 2 Mandra Kesurupan Terminal Mojok

Si Doel Anak Sekolahan Episode 10 Musim 2 Mandra Kesurupan Terminal Mojok

Dzisiaj Polecamy Kpl Sprzeglo 2 Mas Luk Simex Auto Czesci Sosnowiec Facebook

Dzisiaj Polecamy Kpl Sprzeglo 2 Mas Luk Simex Auto Czesci Sosnowiec Facebook

Villa Mutiara Mas 2 Rumah Baru Di Jl Ampera Griya Pontianak Real Estate

Villa Mutiara Mas 2 Rumah Baru Di Jl Ampera Griya Pontianak Real Estate

Mahbub Dan Exti Sandang Juara 2 Mas Mbak Salatiga Iain Salatiga

Mahbub Dan Exti Sandang Juara 2 Mas Mbak Salatiga Iain Salatiga

Ik8xr8y90z6lqm

Ik8xr8y90z6lqm

Rumah Dijual Regency Melati Mas 2 Serpong Bsd

Rumah Dijual Regency Melati Mas 2 Serpong Bsd

Jual Bibit Ikan Mas 2 Jari Kota Depok Unyil Izar Tokopedia

Jual Bibit Ikan Mas 2 Jari Kota Depok Unyil Izar Tokopedia

Rumah Syariah Pancoran Mas Green Pitara Wijaya Residence 2 Depok Homesyariah

Rumah Syariah Pancoran Mas Green Pitara Wijaya Residence 2 Depok Homesyariah

Paket Imun Booster 2 Rs Anggrek Mas Di Jakarta Barat

Paket Imun Booster 2 Rs Anggrek Mas Di Jakarta Barat

Https E Journal Unair Ac Id Jops Article Download 16285 8749

Https E Journal Unair Ac Id Jops Article Download 16285 8749

Rm Kidang Mas Putra 2

Rm Kidang Mas Putra 2

Cin Cin 1 2 Rantai Mas 24 Karat Kadar 96 Shopee Indonesia

Cin Cin 1 2 Rantai Mas 24 Karat Kadar 96 Shopee Indonesia

Pengumuman Seleksi Terbuka Pengisian Jabatan Pimpinan Pratama Eselon Ii B Pemerintah Kabupaten Gunung Mas

Pengumuman Seleksi Terbuka Pengisian Jabatan Pimpinan Pratama Eselon Ii B Pemerintah Kabupaten Gunung Mas

Open Library Timun Mas 2

Open Library Timun Mas 2

Hartadinata Abadi Resmikan Toko Mas Acc Ke 2 Di Batam Swa Co Id

Hartadinata Abadi Resmikan Toko Mas Acc Ke 2 Di Batam Swa Co Id

Dijual Perum Villa Mas Asri 2 Cibarusah Rumahdaerah

Dijual Perum Villa Mas Asri 2 Cibarusah Rumahdaerah

Bakso Beranak 2 Mas Gayeng Cideng Barat Makanan Delivery Menu Grabfood Id

Bakso Beranak 2 Mas Gayeng Cideng Barat Makanan Delivery Menu Grabfood Id

Lawan Corona Act Semprotkan Disinfektan Ke Puri Mas 2 Sukaraja Radar Bogor Berita Bogor Terpercaya

Lawan Corona Act Semprotkan Disinfektan Ke Puri Mas 2 Sukaraja Radar Bogor Berita Bogor Terpercaya

Hotel Kembar Mas 2 Pangandaran Jl Pantai Barat Telepon 0265 630663

Hotel Kembar Mas 2 Pangandaran Jl Pantai Barat Telepon 0265 630663

Kupas Investigasi Sdn Pancoran Mas 2 Diduga Mengontrak Menggunakan Dana Siluman Kupas Merdeka

Kupas Investigasi Sdn Pancoran Mas 2 Diduga Mengontrak Menggunakan Dana Siluman Kupas Merdeka

Geliat Aksi Korporasi Emiten Grup Sinar Mas Market Bisnis Com

Geliat Aksi Korporasi Emiten Grup Sinar Mas Market Bisnis Com

2

2

Detail Jababeka Sunter Niaga Mas 2 Di Bekasi Rumah Com

Detail Jababeka Sunter Niaga Mas 2 Di Bekasi Rumah Com

Background Zoom 82 Tahun Sinar Mas Innovation For Life 2 Sinar Mas

Background Zoom 82 Tahun Sinar Mas Innovation For Life 2 Sinar Mas

Transportasi Wonogiri Agra Mas Luncurkan 2 Bus Tingkat Jurusan Wonogiri Jakarta

Transportasi Wonogiri Agra Mas Luncurkan 2 Bus Tingkat Jurusan Wonogiri Jakarta

Pasien Positif Covid 19 Di Gunung Mas Bertambah 2 Orang

Pasien Positif Covid 19 Di Gunung Mas Bertambah 2 Orang

X2 3x 10 2 2 Mas Dayat

X2 3x 10 2 2 Mas Dayat

Laba Laba Ini Memangsa Ikan Mas Yang Berukuran 2 Kali Lebih Besar

Laba Laba Ini Memangsa Ikan Mas Yang Berukuran 2 Kali Lebih Besar

Informasi Perumahan Pilar Mas Persada 2 Btn Properti

Informasi Perumahan Pilar Mas Persada 2 Btn Properti

Asyiknya Belajar Matematika 2 Kelas 2 Mas Titing Sumarmi Siti Kamsiyati 2009

Asyiknya Belajar Matematika 2 Kelas 2 Mas Titing Sumarmi Siti Kamsiyati 2009

Fondo De Pantalla 2 Mas Disney Phone Wallpaper Disney Wallpaper Cute Disney Wallpaper

Fondo De Pantalla 2 Mas Disney Phone Wallpaper Disney Wallpaper Cute Disney Wallpaper

Rumah Siap Huni Di Perumahan Buana Mas 2

Rumah Siap Huni Di Perumahan Buana Mas 2

Zoom Virtual Background Sinar Mas 1920 X 1080 Px 2 Sinar Mas

Zoom Virtual Background Sinar Mas 1920 X 1080 Px 2 Sinar Mas

Mega Mas 2 Rumah Murah Tipe 36 Hanya 5 Menit Dari Transmart Mall Griya Pontianak Real Estate

Mega Mas 2 Rumah Murah Tipe 36 Hanya 5 Menit Dari Transmart Mall Griya Pontianak Real Estate

Jual Asus Zenfone 3 Mas 2 32 Handphone 803118811

Jual Asus Zenfone 3 Mas 2 32 Handphone 803118811

Jual Serbat Cap Jangkrik Mas Ginger Lemongrass Tablet 2 X 10 Tablet Lemonilo Com

Jual Serbat Cap Jangkrik Mas Ginger Lemongrass Tablet 2 X 10 Tablet Lemonilo Com

Rumah Anggrek Mas 2 Batam Trovit

Rumah Anggrek Mas 2 Batam Trovit

Ikan Mas 2 Ekor 500gr Nitipaja

Ikan Mas 2 Ekor 500gr Nitipaja

Rumah Dijual Wa 0813 5254 0851 Perumahan Mega Mas 2 Parit H Mukhsin 2 Pontianak

Rumah Dijual Wa 0813 5254 0851 Perumahan Mega Mas 2 Parit H Mukhsin 2 Pontianak

Hotel Telaga Mas 2 Sarangan In Plaosan Magetan East Java

Hotel Telaga Mas 2 Sarangan In Plaosan Magetan East Java

Prajurit Batalyon Taifib 2 Marinir Latihan Terjun Malam Surabayaonline Co

Prajurit Batalyon Taifib 2 Marinir Latihan Terjun Malam Surabayaonline Co

15 Cuitan Jerome Polin Di Twitter Garingnya Bikin Gregetan

15 Cuitan Jerome Polin Di Twitter Garingnya Bikin Gregetan

Jual Rumah Cepat Di Pitara Pancoran Mas Depok Rumah Dijual Di Jawa Barat Dot Property

Jual Rumah Cepat Di Pitara Pancoran Mas Depok Rumah Dijual Di Jawa Barat Dot Property

Rumah 2 Lantai Di Bumi Mas Bayubud Kab Cianjur Dijual Rumah Apartemen 792036311

Rumah 2 Lantai Di Bumi Mas Bayubud Kab Cianjur Dijual Rumah Apartemen 792036311

1 Kemukakan Alasan Cerita Mas Oed Merupakan Contoh Mobilitas Sosial 2 Mengapa Cerita Mas Oed Brainly Co Id

1 Kemukakan Alasan Cerita Mas Oed Merupakan Contoh Mobilitas Sosial 2 Mengapa Cerita Mas Oed Brainly Co Id

Mpls Hari Ke 2 Smk N 1 Mas Ubud

Mpls Hari Ke 2 Smk N 1 Mas Ubud

Source : pinterest.com